EFPU
描述
技术说明
用途:高压过滤器
接口尺寸:G ½” 到G1½”, ½” NPT 到1½” NPT SAE DN 20 & 32 6000psi SAE DN 25 & 32 & 40 3000psi
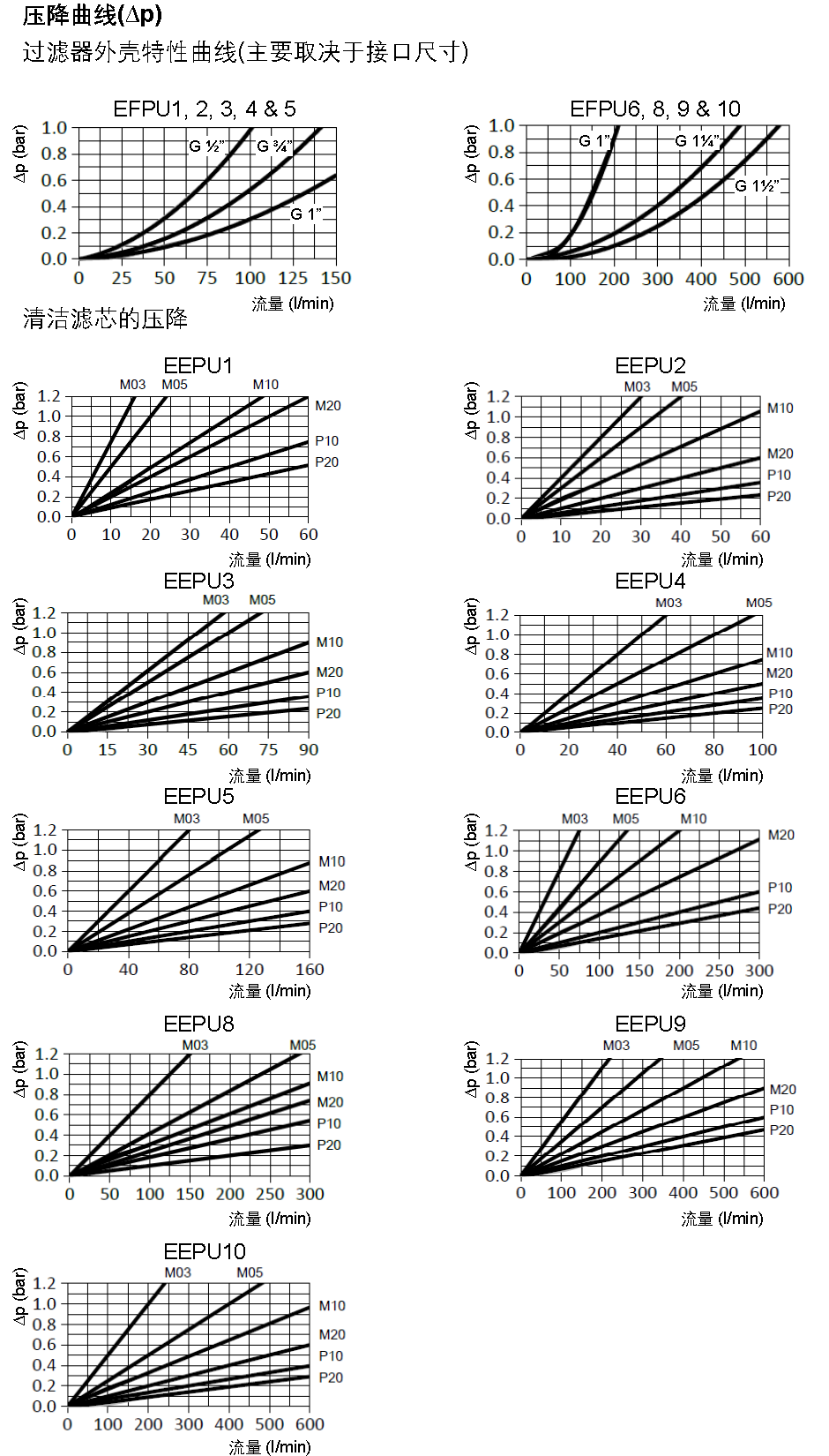
流量:至400 l/min
工作压力:最大至420 bar
爆破压力:1260 bar
滤芯压差:10 bar(滤纸),21 bar或210 bar(玻璃纤维),30 bar(金属网)
旁通阀开启压力:ΔP =6 bar +0.6bar
密封:丁腈橡胶或氟橡胶(-10°C至100°C)
材料:上壳体:球墨铸铁;筒体:碳钢
与介质相容性:适用于矿物油、润滑油、抗燃油和可快速生物分解的介质.(若用于含水介质,请咨询我们的技术部。)
测试标准:
ISO2941 抗破裂性检验
ISO2942滤芯结构完整性试验
ISO2943材料与液体相容性检验
ISO3723滤芯额定轴向载荷检验
ISO3724液压滤芯流动疲劳特性的验证
ISO3968压降流量特性的评定
ISO16889评价滤芯过滤性能的多次通过法
关于产品的问题?
其他信息
| 表1 | 1, 2, 3, 4, 5, 6, 8, 9, 10 |
|---|---|
| 表2 | BB, NB, BC, NC, BD, ND, BE, NE, BF, NF, SB, FC, SD, FD, FE |
| 表3 | 00, 11 |
| 表4 | B, V |
| 表5 | P10, P20, M03, M05, M10, M20, H03, H05, H10, H20, Y25, Y60 |
| 表6 | 00, V50, E50 |






