EFMP
Description
Product Description
- Operating pressure up to 315 bar
- 600 l/min max. flow rate
- installation in manifold block mounting
- application in manifold block mounting
- compliant with industry relevant ISO standards(see ISO test below)
Technical Specifications
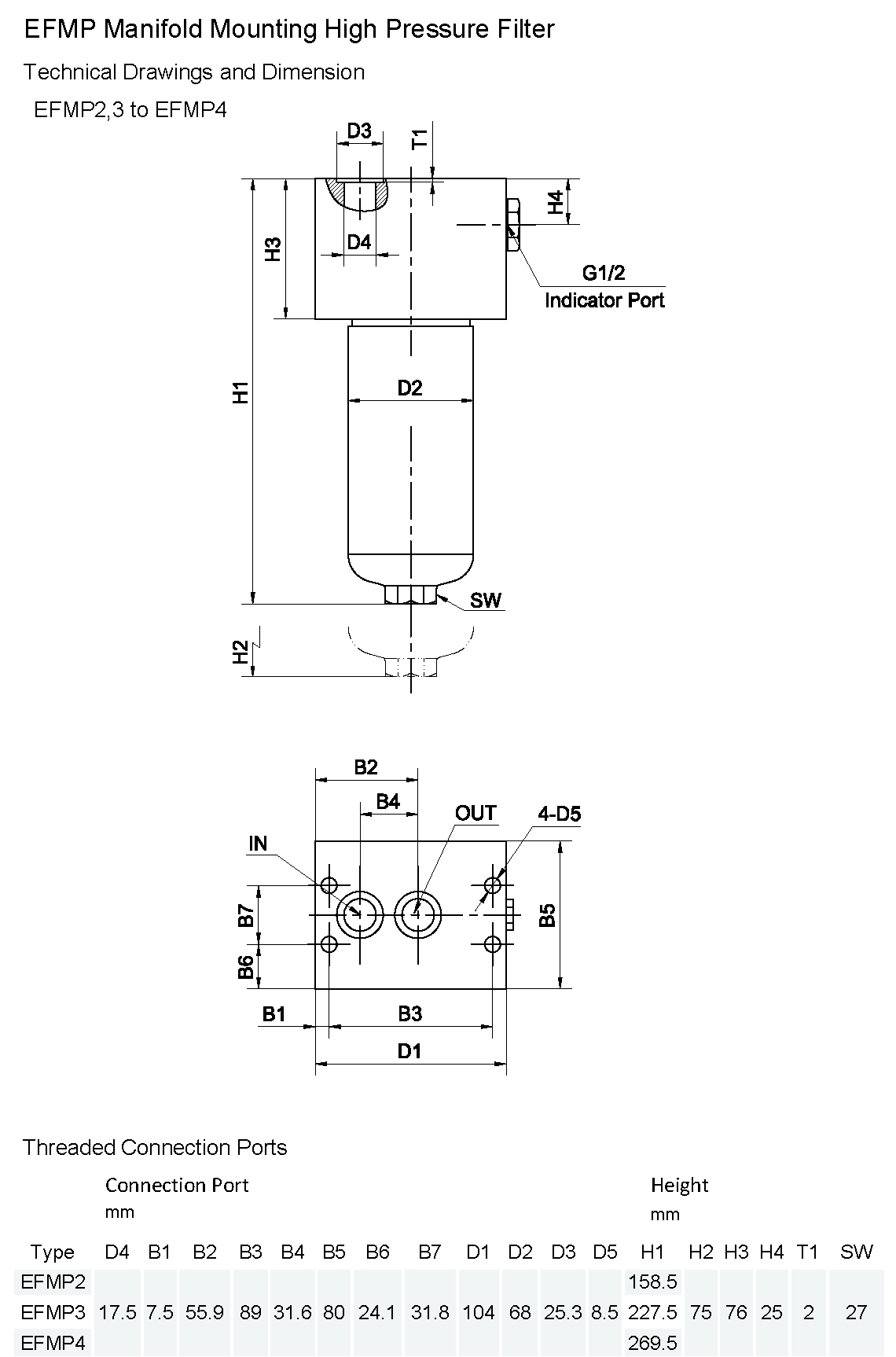
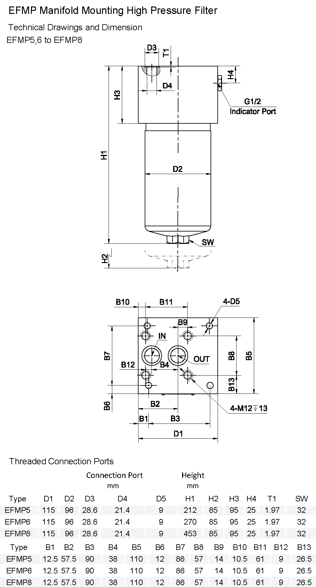
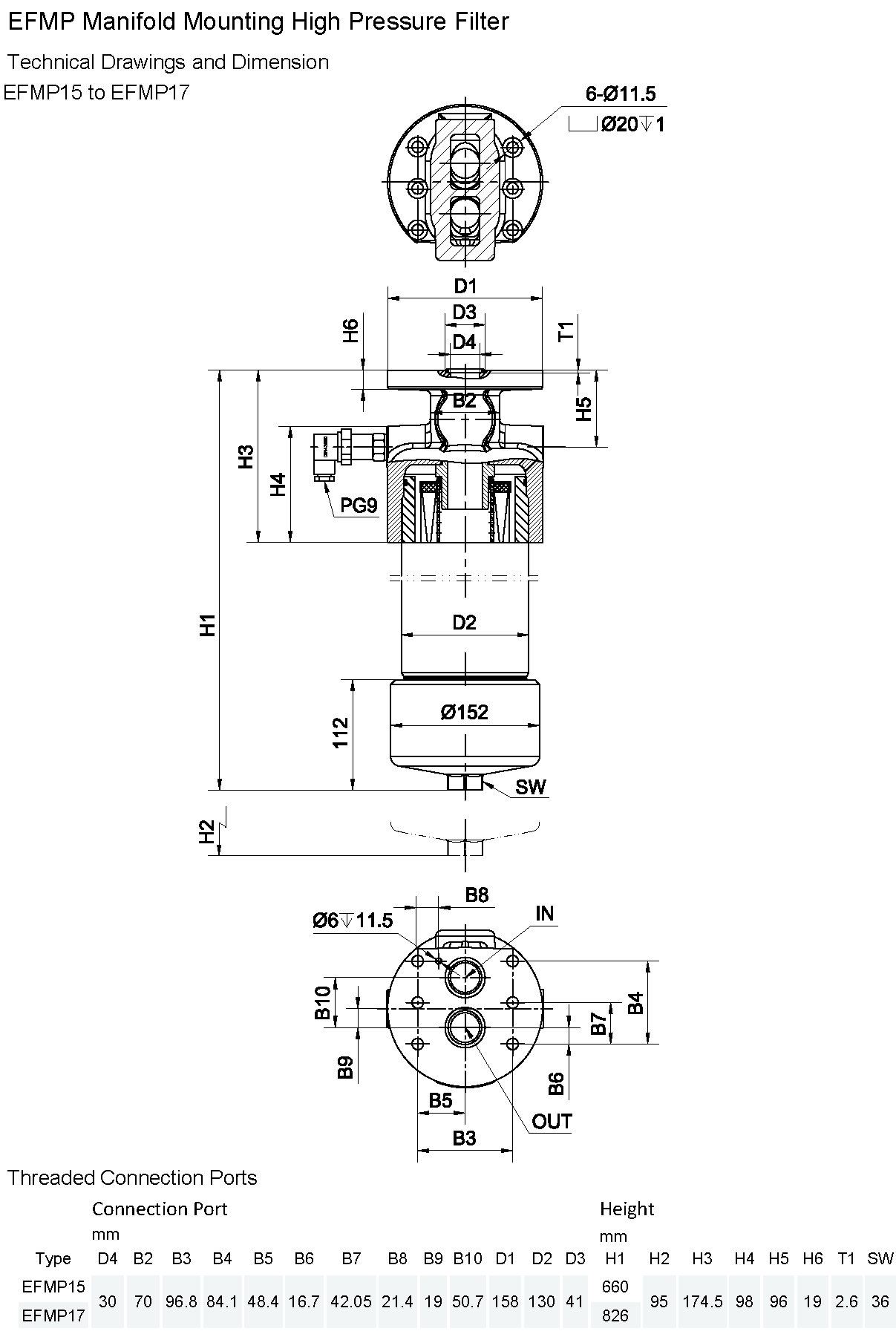
Application:Manifold mounting high pressure filter
Port Sizes:17.5 & 30mm
Flow Rate:max. 600 l/min
Operating Pressure:max. 315 bar
Burst Pressure: min. 950 bar
Element Collapse Pressure:21 bar ( M series) 210 bar (H series ), 30 bar Wire Mesh
By-pass Opening Pressure:Δp=6 bar +0.6bar
Material Seals:NBR or FPM (-25°C to 100°C)
Filter Head:S.G. cast iron
Filter Bowl:forged steel
Compatibility:Suitable for mineral oils, lubrication oils, non-flam fluids, synthetic and rapidly biodegradable oils (for use with water or other fields please contact our technical department)
Tested according to ISO standards:
ISO2941 Collapse/burst resistance
ISO2942 Fabrication integrity
ISO2943 Material compatibility integrity
ISO3723 Method for end load test
ISO3724 Flow fatigue characteristics
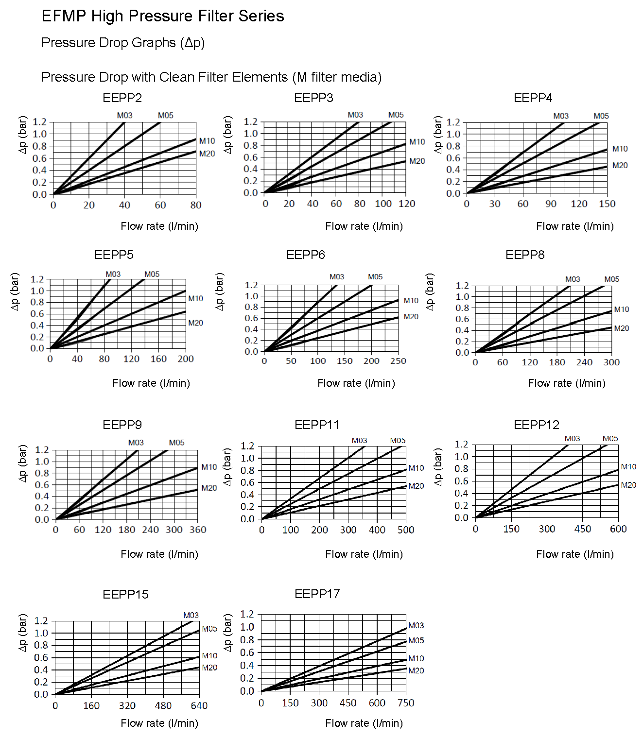
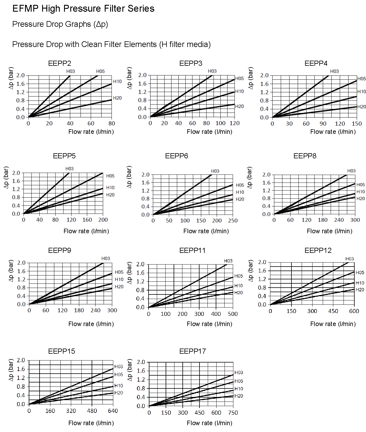
ISO3968 Pressure Drop vs. Flow Rate
ISO16889 Multi-Pass Test
Questions regarding the product?
Additional information
| Table1 | 2, 3, 4, 5, 6, 7, 8, 9, 11, 12, 15, 17 |
|---|---|
| Table2 | CC, CF, CE |
| Table3 | 00, 11 |
| Table4 | B, V |
| Table5 | M03, M05, M10, M20, H03, H05, H10, H20, Y25, Y60, Y90, Y125 |
| Table6 | 5PV, 5PE, 5PB, 00 |
You must be logged in to post a review.














Reviews
There are no reviews yet.