EFRH
描述
技术说明
用途:油箱顶置回油/管路过滤器
接口尺寸:G ¾” 到SAE DN100 3000psi
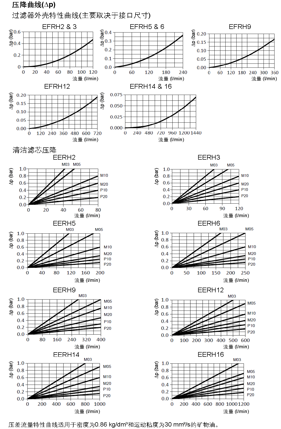
流量:至1300 l/min
工作压力:最大至25 bar
爆破压力:83 bar
滤芯压差:10 bar(滤纸) 21 bar(玻璃纤维) 30 bar(金属网)
旁通阀开启压力:ΔP =3 bar ±10%
密封:丁腈橡胶或氟橡胶(-10°C至100°C)
材料:铸铝或铸铁
与介质相容性:适用于矿物油、润滑油、抗燃油和可快速生物分解的介质.(若用于含水介质,请咨询我们的技术部。)
测试标准:
ISO2941 抗破裂性检验
ISO2942滤芯结构完整性试验
ISO2943材料与液体相容性检验
ISO3723滤芯额定轴向载荷检验
ISO3724液压滤芯流动疲劳特性的验证
ISO3968压降流量特性的评定
ISO16889评价滤芯过滤性能的多次通过法
关于产品的问题?









