EFRC
Description
Product Description
- Operating pressure up to 10 bar
- 800 l/min max. flow rate
- Install on top of tank
- application in waste management trucks,mobile cranes, power packs, wheeled loaders, drilling equipment
- compliant with industry relevant ISO standards(see ISO test below)
Technical Specifications
Application:Tank-top return filter
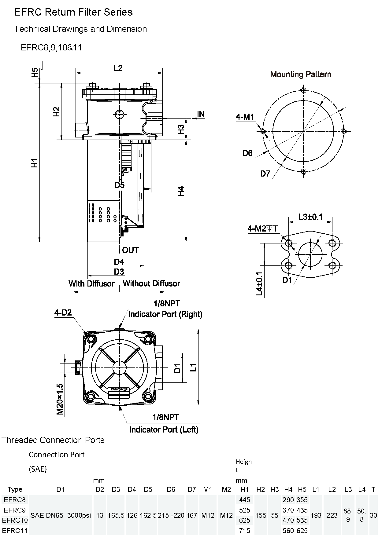
Port Sizes:Threaded Connections according to BSP and NPT standard in 1-¼” and SAE20Flange Connections in SAE DN40 &SAE DN65 for 3000psi
Flow Rate:max. 800 l/min
Flow Direction Inside to out flow direction ,keeping the filter bowl decontaminated and minimizing the risk of re-contamination during element change.
Operating Pressure:max. 10 bar
Burst Pressure: min. 30 bar
Element Collapse Pressure:10 bar
By-pass Opening Pressure:Δp=1.5 bar +0.3bar
Material
Seals:NBR or FPM (-25°C to 100°C)
Filter Head:Aluminium
Filter Bowl:Zinc plated steel
Compatibility:Suitable for mineral oils, lubrication oils, non-flam fluids, synthetic and rapidly biodegradable oils (for use with water or other fields please contact our technical department)
Tested according to ISO standards: ISO2941 Collapse/burst resistance
ISO2942 Fabrication integrity
ISO2943 Material compatibility integrity
ISO3723 Method for end load test
ISO3724 Flow fatigue characteristics
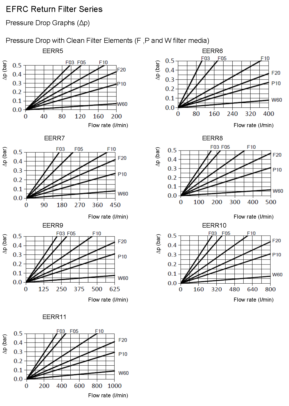
ISO3968 Pressure Drop vs. Flow Rate
ISO16889 Multi-Pass Test
Questions regarding the product?
Additional information
| Table1 | 5, 6, 7, 8, 9, 10, 11 |
|---|---|
| Table2 | BE, NE, A20, FE, FG |
| Table3 | B, V |
| Table4 | 05, X |
| Table5 | P10, F05, F10, F20, W25, W60 |
| Table6 | 0, PZ, R13, V13, E13 |
| Table7 | D, 0 |
| Table8 | M, 0 |
You must be logged in to post a review.











Reviews
There are no reviews yet.