EFRH
Description
Product Description
- Operating pressure up to 25 bar
- 1300 l/min max. flow rate
- installation in Tank-top or in line
- application in Mobiles equipment, Power unit fabricators and Off-line filter loops
- compliant with industry relevant ISO standards(see ISO test below)
Technical Specifications
Application:Tank-top/in-line return filter
Port Sizes:Threaded Connections according to BSP and NPT standard in 1-¼” , 2 ”, SAE08/SAE20 threads and Flange Connections in SAE DN50/ SAE DN80 / SAE DN90 and SAE DN100 for 3000 psi
Flow Rate:max. 1300 l/min
Operating Pressure:max. 25 bar
Burst Pressure: min. 83 bar
Element Collapse Pressure:10 bar for cellulose media ,21 bar for fiberglass media,30 bar for wire mesh
By-pass Opening Pressure:Δp =3 bar ±10%
Material
Seals:NBR or FPM (-25°C to 100°C)
Filter Head:Steel or Aluminium
Filter Bowl:Steel or Aluminium
Compatibility:Suitable for mineral oils, lubrication oils, non-flam fluids, synthetic and rapidly biodegradable oils (for use with water or other fields please contact our technical department)
Tested according to ISO standards: ISO2941 Collapse/burst resistance
ISO2942 Fabrication integrity
ISO2943 Material compatibility integrity
ISO3723 Method for end load test
ISO3724 Flow fatigue characteristics
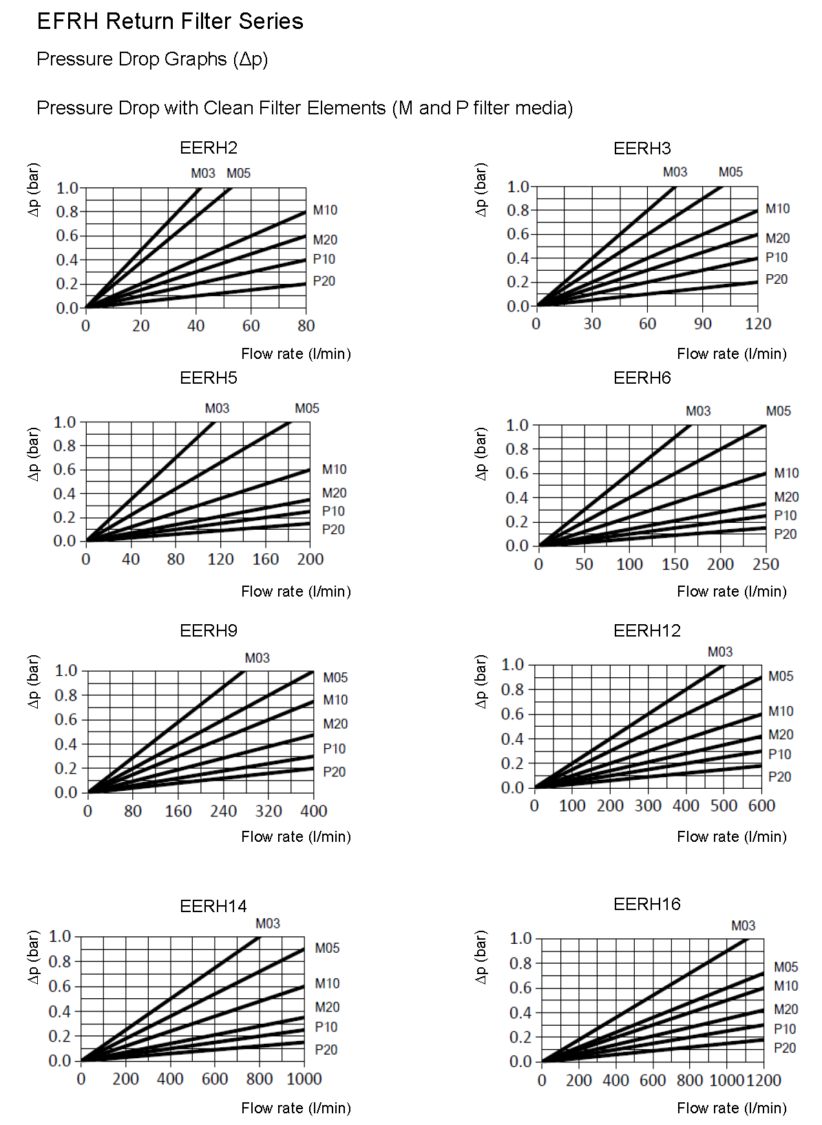
ISO3968 Pressure Drop vs. Flow Rate
ISO16889 Multi-Pass Test
Questions regarding the product?
Additional information
| Table1 | 2, 3, 5, 6, 9, 12, 14, 16 |
|---|---|
| Table2 | BC, BE, BH, NC, NE, NH, A08, A20, FF, FH, FK, FL |
| Table3 | B, V |
| Table4 | 00, 08, 11, X |
| Table5 | P10, P20, M03, M05, M10, M20, Y25, Y60, Y90, Y125 |
| Table6 | 0, 2RE, 5PE |
| Table7 | /AL |
You must be logged in to post a review.














Reviews
There are no reviews yet.